Download SAS Statistical Business Analysis SAS9: Regression and Model.A00-240.Pass4SureExam.2018-12-11.38q.vcex

Vendor: SASInstitute
Exam Code: A00-240
Exam Name: SAS Statistical Business Analysis SAS9: Regression and Model
Date: Dec 11, 2018
File Size: 2 MB

How to open VCEX files?

Files with VCEX extension can be opened by ProfExam Simulator.

ProfExam Discount

Demo Questions

Question 1
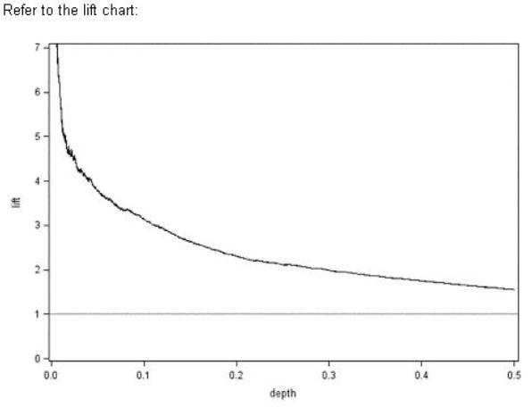
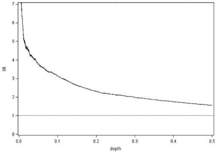
Refer to the lift chart: 
  
At a depth of 0.1, Lift = 3.14. What does this mean?
  1. Selecting the top 10% of the population scored by the model should result in 3.14 times more events than a random draw of 10%.
  2. Selecting the observations with a response probability of at least 10% should result in 3.14 times more events than a random draw of 10%.
  3. Selecting the top 10% of the population scored by the model should result in 3.14 times greater accuracy than a random draw of 10%.
  4. Selecting the observations with a response probability of at least 10% should result in 3.14 times greater accuracy than a random draw of 10%. 
Correct answer: A
Question 2
Refer to the lift chart: 
  
What does the reference line at lift = 1 corresponds to? 
  1. The predicted lift for the best 50% of validation data cases
  2. The predicted lift if the entire population is scored as event cases
  3. The predicted lift if none of the population are scored as event cases
  4. The predicted lift if 50% of the population are randomly scored as event cases
Correct answer: B
Question 3
Refer to the exhibit: 
  
The plots represent two models, A and B, being fit to the same two data sets, training and validation. 
Model A is 90.5% accurate at distinguishing blue from red on the training data and 75.5% accurate at doing the same on validation data. Model B is 83% accurate at distinguishing blue from red on the training data and 78.3% accurate at doing the same on the validation data. 
Which of the two models should be selected and why?
  1. Model A. It is more complex with a higher accuracy than model B on training data.
  2. Model A. It performs better on the boundary for the training data.
  3. Model B. It is more complex with a higher accuracy than model A on validation data.
  4. Model B. It is simpler with a higher accuracy than model A on validation data.
Correct answer: D
Question 4
Assume a $10 cost for soliciting a non-responder and a $200 profit for soliciting a responder. The logistic regression model gives a probability score named P_R on a SAS data set called VALID. The VALID data set contains the responder variable Pinch, a 1/0 variable coded as 1 for responder. Customers will be solicited when their probability score is more than 0.05. 
Which SAS program computes the profit for each customer in the data set VALID? 
Correct answer: A
Question 5
In order to perform honest assessment on a predictive model, what is an acceptable division between training, validation, and testing data?
  1. Training: 50% Validation: 0% Testing: 50%
  2. Training: 100% Validation: 0% Testing: 0%
  3. Training: 0% Validation: 100% Testing: 0%
  4. Training: 50% Validation: 50% Testing: 0%
Correct answer: D
Question 6
A marketing campaign will send brochures describing an expensive product to a set of customers. The cost for mailing and production per customer is $50. The company makes $500 revenue for each sale. 
What is the profit matrix for a typical person in the population? 
Correct answer: C
Question 7
A confusion matrix is created for data that were oversampled due to a rare target.  
What values are not affected by this oversampling?
  1. Sensitivity and PV+
  2. Specificity and PV-
  3. PV+ and PV-
  4. Sensitivity and Specificity
Correct answer: D
Question 8
This question will ask you to provide missing code segments. 
A logistic regression model was fit on a data set where 40% of the outcomes were events (TARGET=1) and 60% were non-events (TARGET=0). The analyst knows that the population where the model will be deployed has 5% events and 95% non-events. The analyst also knows that the company's profit margin for correctly targeted events is nine times higher than the company's loss for incorrectly targeted non-event. 
Given the following SAS program: 
  
What X and Y values should be added to the program to correctly score the data? 
  1. X=40, Y=10
  2. X=.05, Y=10
  3. X=.05, Y=.40
  4. X=.10.Y=05
Correct answer: B
Question 9
Refer to the confusion matrix: 
  
Calculate the sensitivity. (0 - negative outcome, 1 - positive outcome)  
Click the calculator button to display a calculator if needed. 
  1. 25/48
  2. 58/102
  3. 25/B9 
  4. 58/81
Correct answer: A
Question 10
The total modeling data has been split into training, validation, and test data. What is the best data to use for model assessment?
  1. Training data
  2. Total data
  3. Test data
  4. Validation data
Correct answer: D
HOW TO OPEN VCE FILES

Use VCE Exam Simulator to open VCE files
Avanaset

HOW TO OPEN VCEX AND EXAM FILES

Use ProfExam Simulator to open VCEX and EXAM files
ProfExam Screen

ProfExam
ProfExam at a 20% markdown

You have the opportunity to purchase ProfExam at a 20% reduced price

Get Now!